来源: 作者:李靓审核人:发布时间:2023-07-10点击数:
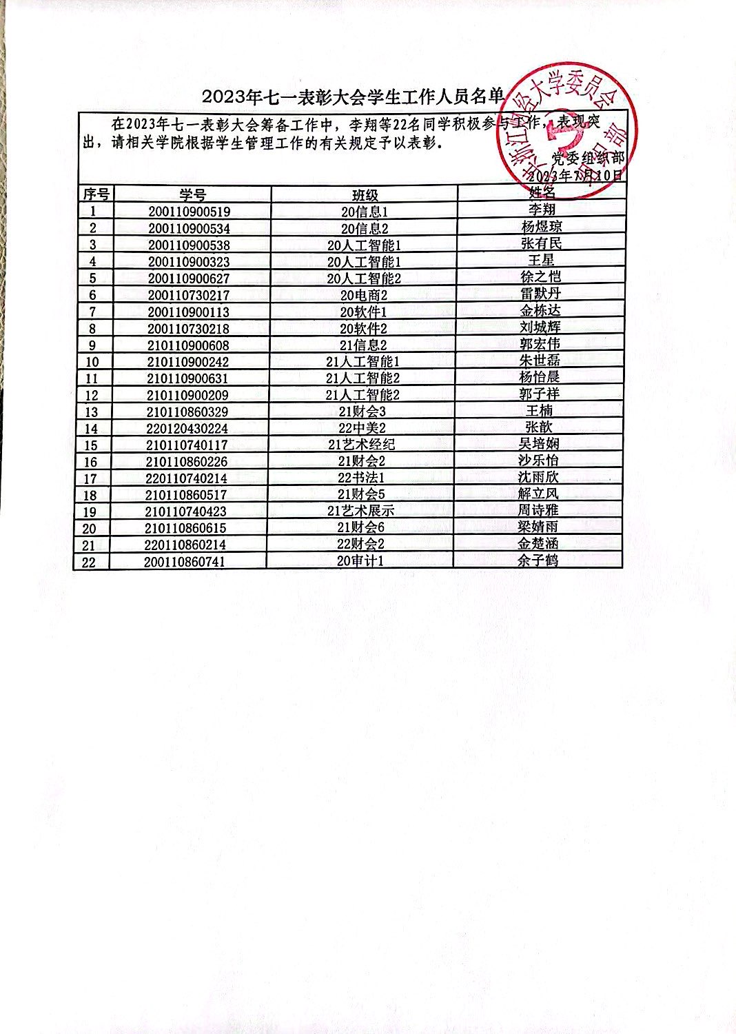
2023年6月29日,伟德官网圆满完成了学校“循迹溯源学思想 砥砺奋进建新功”七一表彰大会的承办工作。期间,李翔等22名同学担任学生工作人员,扎实工作,甘于奉献,表现突出,积极协助校党委组织部和学院党委完成大会的筹备和组织工作,大会得到学校领导和师生党员的广泛好评。经校党委组织部研究决定,对上述同学进行通报表扬,以资鼓励。名单如下:
信息管理与人工智能学院
2023年7月10日
上一篇:关于印发《BV伟德官方网站2023级本科生大类培养分流及专业(类)准入实施方案》的通知
下一篇:首届BV伟德官方网站-百度AI新人创意赛报名的通知
【关闭】